Face à l'exposition croissante à la lumière bleue, à la pollution environnementale et au stress oxydatif, la protection des cellules humaines contre les dommages causés par les radicaux libres est devenue cruciale. Parmi tous les antioxydants naturels, l'hydroxytyrosol (CAS 10597-60-1) a suscité un intérêt scientifique particulier en raison de son double pouvoir antioxydant.
Dans cet article de blog, Viablife , fabricant d'hydroxytyrosol liquide de haute pureté, partagera le double mécanisme antioxydant de l'hydroxytyrosol antioxydant en vente et ses effets synergiques structurels et de voie.
Efficacité antioxydante : double validation in vitro et in vivo
Études in vitro : l’hydroxytyrosol protège les cellules du stress oxydatif induit par la lumière bleue
Les expériences cellulaires simulent l'une des sources les plus courantes de stress oxydatif moderne : l'exposition à la lumière bleue des LED. Lorsque les kératinocytes et les fibroblastes humains sont irradiés par cette lumière bleue, ils subissent une augmentation de la production d'espèces réactives de l'oxygène (ROS), ce qui entraîne une oxydation cellulaire, une dégradation du collagène et un photovieillissement accéléré.

Dans ces expériences, le traitement à l'hydroxytyrosol, un antioxydant, a considérablement réduit la surproduction d'espèces réactives de l'oxygène (ROS) et protégé le collagène cellulaire de la dégradation. Cette réponse était dose-dépendante : plus la concentration d'hydroxytyrosol était élevée, plus l'inhibition des ROS était importante.
Cette découverte signifie que l'hydroxytyrosol ne se contente pas de neutraliser les radicaux libres existants ; il prévient efficacement les réactions en chaîne d'oxydation induites par le stress lumineux. Sous une exposition simulée à la lumière LED, les cellules cutanées traitées à l'hydroxytyrosol ont conservé leur intégrité structurelle et ont résisté aux lésions oxydatives, démontrant ainsi son fort potentiel antioxydant in vitro.
En bref, l'hydroxytyrosol agit comme un bouclier pour la peau et les cellules dermiques, combattant les dommages oxydatifs cachés générés par les sources de lumière numérique quotidiennes — une découverte ayant une pertinence directe pour les formulations topiques de soins de la peau et les cosmétiques contenant de l'hydroxytyrosol liquide.
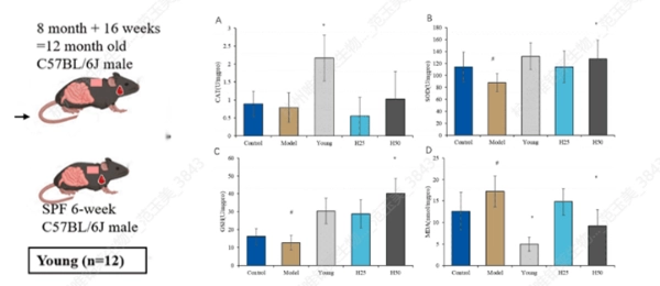
Études in vivo : Renforcer les défenses naturelles de la peau
Au-delà des essais in vitro, les expériences sur des modèles animaux apportent des preuves *in vivo* convaincantes. Dans un modèle de vieillissement cutané oxydatif induit par les AGE (produits de glycation avancée), les souris traitées à l'hydroxytyrosol ont présenté une activité enzymatique antioxydante nettement améliorée.
Les taux de SOD (superoxyde dismutase) et de GSH-Px (glutathion peroxydase) ont augmenté significativement, tandis que celui de MDA (malondialdéhyde), un marqueur de la peroxydation lipidique, a diminué. Ces résultats indiquent que l'hydroxytyrosol agit non seulement directement comme un piégeur de radicaux libres, mais stimule également le système antioxydant endogène.

Cette double action a réduit le stress oxydatif dans les tissus et rétabli l'homéostasie cutanée. En d'autres termes, l'hydroxytyrosol régénère la capacité antioxydante de l'intérieur, un résultat qui confirme son efficacité systémique in vivo.
Ensemble, les études cellulaires et animales confirment que l'activité antioxydante de l'hydroxytyrosol est à la fois biochimiquement puissante et biologiquement significative, ce qui constitue le fondement de ses nombreuses applications.
Double mécanisme antioxydant interne : synergie structure + voie métabolique
Avantage structurel : le groupe ortho-dihydroxyphénolique
Les performances exceptionnelles de l'hydroxytyrosol, un antioxydant, proviennent de sa structure ortho-dihydroxy (catéchol). Cette configuration unique lui permet de céder efficacement des atomes d'hydrogène, interrompant ainsi les réactions en chaîne radicalaires et stabilisant les espèces réactives.
Des données comparatives montrent que les composés de type catéchol possédant cette structure ont une capacité de piégeage des radicaux beaucoup plus importante que ceux qui en sont dépourvus. Dans le cas de l'hydroxytyrosol, cela signifie qu'il peut neutraliser directement les radicaux hydroxyles, les radicaux superoxydes et le peroxynitrite, qui figurent parmi les agents oxydants les plus nocifs pour les systèmes biologiques.
Cet avantage structurel explique sa supériorité dans la suppression *in vitro* des ROS induites par la lumière bleue. La capacité à bloquer les radicaux à la source confère à l'hydroxytyrosol un effet protecteur immédiat, constituant ainsi la première ligne de défense antioxydante.

Régulation de la voie de signalisation : activation du réseau de défense cellulaire Nrf2
Le second mécanisme est cellulaire et adaptatif. L'hydroxytyrosol ne se contente pas d'éliminer les radicaux libres ; il active également la voie de signalisation Nrf2, qui orchestre le système de défense antioxydante à long terme de l'organisme.

Suite à un traitement à l'hydroxytyrosol, le facteur Nrf2 (facteur nucléaire érythroïde 2 apparenté au facteur 2) migre vers le noyau cellulaire et se lie aux éléments de réponse antioxydante (ARE) de l'ADN. Cette activation déclenche l'expression d'enzymes antioxydantes et de détoxification, notamment la SOD, la GPx, la GR (glutathion réductase) et la GST (glutathion S-transférase).

Des recherches montrent que dans les cellules traitées à l'hydroxytyrosol, les niveaux nucléaires de Nrf2 augmentent tandis que les niveaux cytosoliques diminuent, confirmant ainsi l'activation et la translocation réussies. Par conséquent, les activités enzymatiques de la GPx, de la GR et de la GST sont toutes significativement augmentées.
Cette activation de Nrf2 réduit la production de ROS et améliore la capacité de la cellule à résister au stress oxydatif, assurant ainsi une protection antioxydante durable même après une exposition initiale aux radicaux libres.
L’hydroxytyrosol agit donc selon deux mécanismes complémentaires :
1. Neutralisation radicalaire immédiate grâce à sa structure catéchol.
2. Activation des antioxydants endogènes par la voie de signalisation Nrf2.
Cette synergie — *structure + voie* — crée une défense antioxydante robuste et multicouche, contrairement à la plupart des antioxydants conventionnels qui reposent sur un mécanisme unique.
Qualité scientifique de l'hydroxytyrosol : aperçu des fournisseurs et des fabricants
Un approvisionnement fiable est essentiel pour transformer les résultats de laboratoire en produits efficaces. Viablife, fournisseur d'hydroxytyrosol, est un producteur mondialement reconnu pour sa fermentation de précision et sa technologie d'extraction biosourcée.
En tant que fabricant d'hydroxytyrosol, Viablife garantit une pureté constante, une grande stabilité et des normes de production traçables pour tous ses lots. Sa formulation liquide d'hydroxytyrosol facilite son intégration dans les sérums de soin, les boissons nutritionnelles ou les compléments alimentaires sans en altérer l'efficacité.
Pour les marques et les formulateurs souhaitant commercialiser de l'hydroxytyrosol, Viablife fournit non seulement les matières premières en vrac, mais aussi un accompagnement technique, des conseils en formulation et la documentation réglementaire. Cette transparence scientifique facilite le passage de la recherche à la commercialisation, simplifiant ainsi le développement de produits antioxydants de nouvelle génération à l'efficacité prouvée.
Du laboratoire à la vie réelle : applications concrètes de l'antioxydant hydroxytyrosol
Grâce à sa double validation et à ses mécanismes synergiques, l'hydroxytyrosol est devenu un ingrédient polyvalent dans de nombreux secteurs :
* Soins de la peau et cosmétiques : prévient le photovieillissement oxydatif, protège le collagène et apaise le stress dû à la lumière bleue dans les formulations topiques.
* Aliments et boissons fonctionnels : l’hydroxytyrosol liquide enrichit les boissons et les compléments alimentaires en antioxydants naturels.
* Nutraceutiques : soutiennent la santé cardiovasculaire et neurologique grâce au contrôle systémique des ROS.
* Recherche pharmaceutique : actuellement explorée pour les troubles inflammatoires chroniques, métaboliques et neurodégénératifs liés aux dommages oxydatifs.
Sa capacité avérée à rétablir l'équilibre antioxydant, tant en externe qu'en interne, positionne l'hydroxytyrosol comme un bioactif de nouvelle génération pour une protection holistique.
Conclusion
Des essais cellulaires *in vitro* aux modèles animaux *in vivo*, l'hydroxytyrosol, un antioxydant, démontre de façon constante sa capacité à lutter contre le stress oxydatif, à réduire les ROS et à renforcer les défenses enzymatiques. Ses deux mécanismes antioxydants – un puissant piégeage des radicaux libres et l'activation de la voie de défense Nrf2 – assurent une protection complète, du niveau moléculaire au niveau systémique.
Soutenu par la recherche et produit avec précision par Viablife, fournisseur d'hydroxytyrosol, ce composé naturel illustre comment la biotechnologie moderne et la compréhension moléculaire convergent pour offrir des bienfaits tangibles en matière de santé et de beauté.
Que ce soit dans les soins de la peau, la nutrition ou les formulations de bien-être avancées, l'hydroxytyrosol fait figure de référence pour l'avenir des antioxydants bioactifs : scientifiquement prouvé, structurellement puissant et biologiquement intelligent.
Chinois
États-Unis
Espagne
Russe
France
Allemagne
Italien
Japon
Arabe
Portugais
Coréen
Thaïlandais
Grec
Inde




Leave a Message